문제 바로가기
https://www.acmicpc.net/problem/2869
2869번: 달팽이는 올라가고 싶다
첫째 줄에 세 정수 A, B, V가 공백으로 구분되어서 주어진다. (1 ≤ B < A ≤ V ≤ 1,000,000,000)
www.acmicpc.net


관련 알고리즘
- 수학
정답 및 해설
달팽이가 매일 이동할 수 있는 높이를 입력받아 높이 V를 올라가는데 걸리는 일수를 구하는 문제이다.
매일 높이 상승분을 구하여 간단하게 해결할 수 있는 문제이다.
이때 예제 입력 3과 같이 올라가는 높이와 미끄러지는 높이의 차이가 크지 않은 경우,
간단하게 나눗셈만으로 정답을 구할 수 없다.
마지막날 나무 막대의 정상에 올라가고나면 더 이상 미끄러지지 않기때문에,
마지막날의 상승분을 미리 이동시켜놓고 나머지 높이를 올라가는데 걸리는 시간을 구하는 방법으로
정답을 구할 수 있다.
ex) V=10, A=4, B=1 인 경우, 1일차 : +4 -1=+3 / 2일차 : +4-1=+3 / 3일차 : +4(정상 도착)
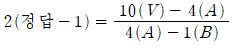
위를 수식으로 표현하면

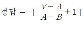
정답에 관한 식으로 정리하면


⌈X⌉ 기호는 올림 기호로, X의 소수점을 반드시 정수로 올림하여 나타냅니다.
C++
더보기
#include<bits/stdc++.h>
using namespace std;
int main(){
int A,B,V,ans;
cin>>A>>B>>V;
V-=A;
ans=V/(A-B)+1;
if(V%(A-B)!=0) ans++;
cout<<ans;
}
| Line | 해설 |
| 4~5 | 풀이에 사용할 변수를 정의하고 cin함수로 A,B,V를 입력받는다. |
| 6~7 | V-=A 문을 통해 정상에 도착하는 마지막날 상승분을 미리 계산해 놓는다. ans=V/(A-B)+1 문에서 A-B는 매일 상승과 미끄러짐을 반복하여 최종 상승한 높이이다. V/(A-B)를 통해 매일 A-B미터 만큼 올라가서 V만큼 이동하는데 걸리는 시간(일수)를 구한다. 그 후, +1을 통해 미리 계산해 두었던 마지막날 1일을 더해준다. |
| 8~9 | V%(A-B)!=0 즉, V가 A-B로 나누어 떨어지지 않는다면 높이 V를 이동하는데 하루를 더 사용하여야 하므로 ans++ 문으로 정답에 1을 더해준다. (위 수식의 '올림' 과정에 해당한다)1) Line 9에서 ans를 출력하여 정답을 구한다. |
1) cmath 라이브러리에서 제공하는 ceil 함수를 사용해도 좋지만 A,B,V의 자료형이 int 이므로 나머지를 계산하여 간접적으로 ceil 함수를 구현하였다.
'Coding > BOJ' 카테고리의 다른 글
| [BOJ 백준] 9012 - 괄호 (C++) (0) | 2023.11.25 |
|---|---|
| [BOJ 백준] 4153 - 직각삼각형 (C++) (1) | 2023.11.23 |
| [BOJ 백준] 1676 - 팩토리얼 0의 개수 (C++) (1) | 2023.11.20 |
| [BOJ 백준] 1546 - 평균 (C++) (0) | 2023.11.19 |
| [BOJ 백준] 1436 - 영화감독 숌 (C++) (0) | 2023.11.18 |